色情影片
魏薇博士在国际学术期刊《Frontiers in Earth Science》上发表了题为“Estimation of the Dolomite Content of Carbonate Rock Outcrops Based on Spectral Knowledge and Machine Learning”的SCI论文,提出了一种融合光谱知识与机器学习的白云石含量预测方法,为碳酸盐岩矿物成分的快速定量分析提供了新的技术手段。
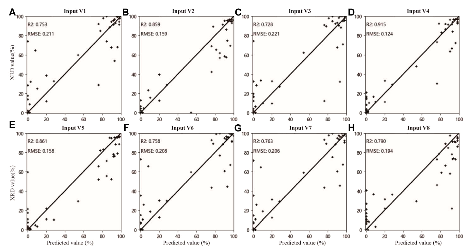
该研究团队针对传统实验室方法存在的成本高、周期长等问题,开发了一套高效的非破坏性白云石含量预测方案。研究中,采用ASD FieldSpec系列光谱仪对野外露头碳酸盐岩进行高光谱数据采集,通过严格的数据预处理流程确保数据质量;提出了“光谱知识初筛 + 随机森林精筛”的混合特征选择策略,并基于SVR算法构建白云石含量预测模型。实验结果显示,相较于其他8种预测模型,该方法在预测精度和稳定性方面展现出显著优势。该研究不仅在碳酸盐岩白云石含量的快速定量预测方面提供了新思路,也为野外地质调查与矿产资源勘查提供了高效可靠的技术方案。
论文链接://doi.org/10.3389/feart.2024.1401026

图1 模型预测值和XRD数据对比分析 (A-H)分别对应输入变量V1-V8

图2 白云石含量预测精度评价 (A)评价指标R2对比(B)评价指标RMSE对比

图3 文章色情影片